library(readxl)
Caso_Aguacate_xls<-read_excel("avocado.csv..xlsx")🥑ESPACIO GEOGRAFICO(CAJAS):
Note
Para particionar el espacio gráfico podemos realizar:
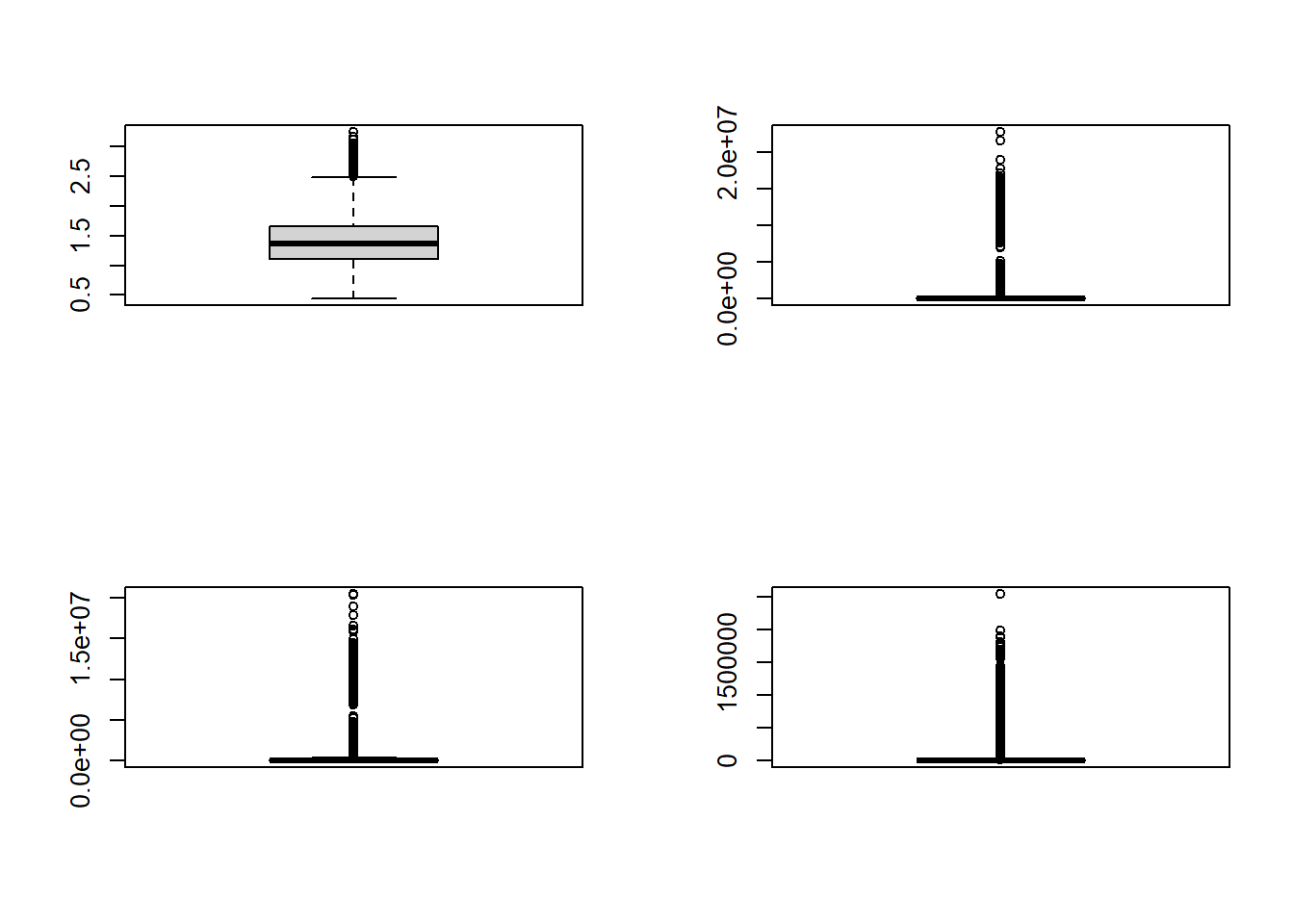
🥑COLOCAR LAS GRAFICAS EN 2X2
par(mfrow=c(2,2))
boxplot(Caso_Aguacate_xls$`AveragePrice (PRECIO PROMEDIO)`)
boxplot(Caso_Aguacate_xls$`NUMERO TOTAL DE AGUACATE CON PLU 4046-PEQUEÑO VENDIDOS`)
boxplot(Caso_Aguacate_xls$`NUMERO TOTAL DE AGUACATE CON PLU 4225-LARGO VENDIDOS`)
boxplot(Caso_Aguacate_xls$`NUMERO TOTAL DE AGUACATE CON PLU 4770-GRANDE VENDIDOS`)
🥑COLOCAR LAS GRAFICAS EN 1X1
par(mfrow=c(1,1))
boxplot(Caso_Aguacate_xls$`AveragePrice (PRECIO PROMEDIO)`)
boxplot(Caso_Aguacate_xls$`NUMERO TOTAL DE AGUACATE CON PLU 4046-PEQUEÑO VENDIDOS`)
boxplot(Caso_Aguacate_xls$`NUMERO TOTAL DE AGUACATE CON PLU 4225-LARGO VENDIDOS`)
boxplot(Caso_Aguacate_xls$`NUMERO TOTAL DE AGUACATE CON PLU 4770-GRANDE VENDIDOS`)